Vážení rodiče budoucích prvňáčků,
zveřejňujeme identifikační čísla přijatých dětí do 1. ročníku 2020/2021.
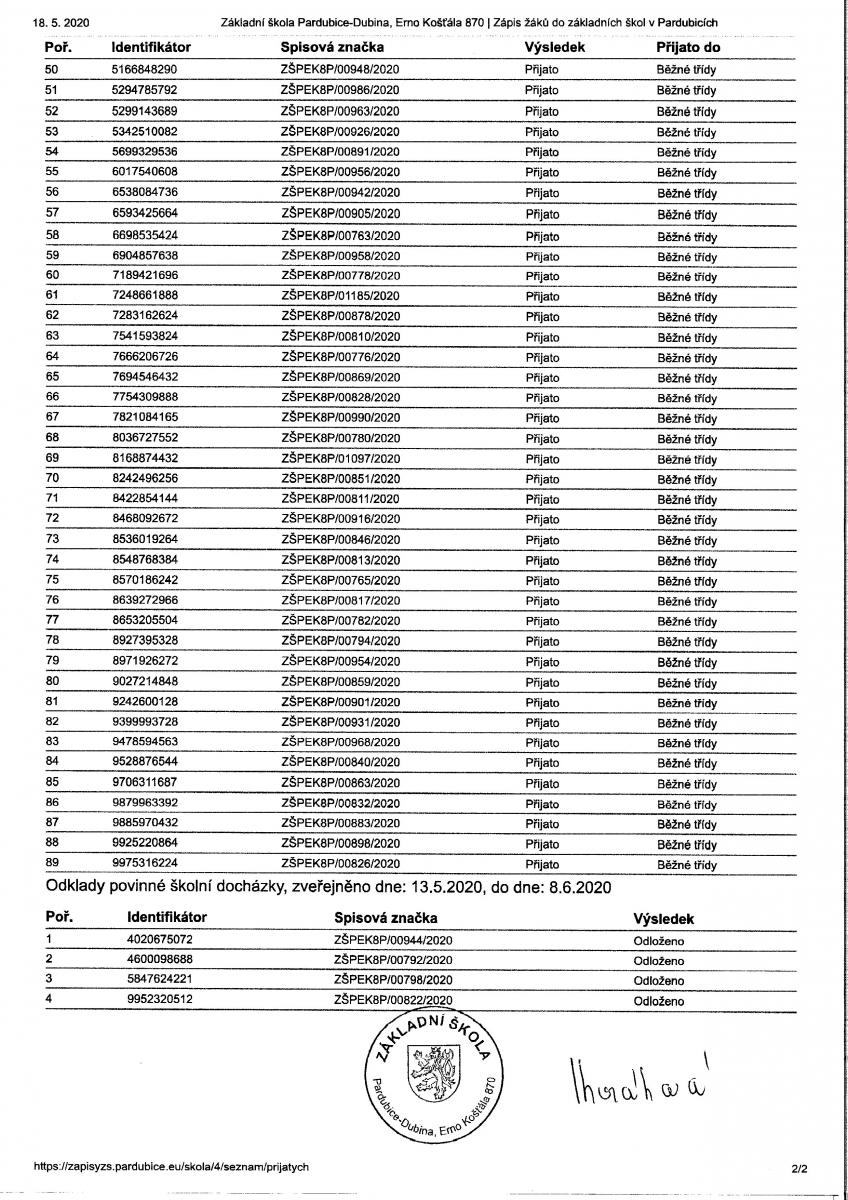
Mezi 88 přijatými dětmi je i 12 dětí, které nemají ještě vyřízený odklad školní docházky.
Do školy nastoupí 76 dětí, které budou rozděleny do 3 tříd.
Schůzka rodičů budoucích prvňáčků se uskuteční v úterý 2.6.2020 od 16.30 hod. za dodržení hygienických a epidemiologických opatření.
Bližší informace o schůzce obdrží zákonní zástupci na email, který uvedli na žádosti o přijetí.

